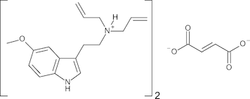
5 MeO MET fumarate is a synthetic psychedelic compound belonging to the tryptamine class. It is a fumarate salt form of 5 MeO MET, which is structurally related to the naturally occurring compound serotonin. Please note that this information is for educational purposes only, and we do not condone or promote the misuse of any substances.5-MeO-MET, scientifically known as 5-Methoxy-N-ethyl-N-methyltryptamine, is a research chemical that belongs to the tryptamine class. Buy 5-MeO-MET online
It is derived from a naturally occurring compound by replacing a methyl group and an ethyl group at specific positions. As a research chemical, 5 MeO MET is of interest to scientists and researchers because of its unique pharmacological properties. It is known for its interaction with serotonin receptors, particularly the 5-HT2A receptor, which plays an important role in modulating neural activity and influencing subjective experiences. Buy 5-MeO-MET online
5-MeO-MET is characterized by its methoxy (methoxy) substitution at the 5th position of the tryptamine core structure. This substitution changes the molecular structure of the compound, resulting in different pharmacological effects than other tryptamines. The compound is usually synthesized in the laboratory using established chemical procedures. The molecular structure allows modifications and derivatizations to study the structure-activity relationships and investigate the influence of different substitutions on the pharmacological properties.
Researchers have examined the effects of this product on neurotransmitter systems, neural circuits, and behavioral responses. These studies aim to expand our understanding of the compound’s mechanism of action, its potential therapeutic applications, and its role in the broader context of psychedelic research. By studying the unique properties and effects of 5 MeO MET, researchers aim to gain valuable insights into brain functioning, the complexity of consciousness, and the potential applications of psychedelic compounds in various scientific disciplines.
-
Psychoactive Effects: It is known for its hallucinogenic and entheogenic properties. Users often report visual distortions, sensory enhancements, and altered states of consciousness. The effects can vary depending on the dosage, set, and setting.
-
Research Purposes: It is primarily used for scientific research and exploration of its pharmacological properties. It is commonly employed in studies related to neuroscience, psychotherapy, and consciousness research.
-
Dosage and Administration: The dosage of 5 MeO MET fumarate can vary depending on individual tolerance and desired effects. It is typically taken orally, but other routes of administration, such as vaporization or insufflation, may also be used. It is crucial to exercise caution and adhere to proper safety protocols when handling and administering this substance.
-
Safety Precautions: As with any research chemical, it is crucial to prioritize safety when handling 5-MeO-MET fumarate. Proper laboratory equipment, protective gear, and handling procedures should be followed. It is recommended to work with this substance in a controlled environment under the supervision of trained professionals.
How did 5-MeO-MET come about?
The history of this product can be traced back to the broader exploration of tryptamine compounds. Tryptamines have been the subject of scientific research due to their possible effects on consciousness, perception and behavior. Researchers attempted to modify a molecular structure by making specific substitutions, leading to the creation of 5-MeO-MET. The addition of a methoxy group (methoxy) at the 5th position of the tryptamine core structure resulted in different pharmacological effects than the parent compound.
The beginning of research on 5-MeO-MET consisted of its synthesis in the laboratory using established chemical procedures. Scientists were interested in the compound’s interactions with serotonin receptors, specifically the 5-HT2A receptor. This receptor is known to play an important role in modulating neural activity and influencing subjective experiences.
Over time, researchers have conducted studies to investigate the effects of 5-MeO-MET on various aspects of neurobiology, including neurotransmitter systems, neural circuits, and behavioral responses. These studies aimed to expand our understanding of the compound’s mechanism of action and its potential therapeutic applications.
By studying the unique properties and effects of 5-MeO-MET, researchers seek to understand the complex functioning of the brain, the mechanisms underlying altered states of consciousness, and the potential applications of psychedelic compounds in various scientific domains.











Reviews
There are no reviews yet.